Volme Hodnoty

Seriálové čtvrtky letos otevíráme sérií evolučního biologa Petra Turečka. Jeho balík nesmlouvavých komentářů k poměrům v české společnosti, politice i akademii pokračuje esejí o chronických neduzích akademických odměn, českých daní a jejich možných řešeních.

Před několika lety za mnou přišel šéf katedry a povídá: „Pojďme naprogramovat systém, který bude spravedlivě rozdělovat pololetní odměny za publikace.“ Něco podobného by měl alespoň jednou v životě zažít každý plácal! Konečně příležitost uvést do praxe některé z nezávazně formulovaných, ale o to srdnatěji hájených názorů.

Přibližně polovina veškerých financí, se kterými s kolegy hospodaříme, přichází z externích vědeckých grantů. Druhá polovina teče vnitřními univerzitními kanály a není na rozdíl od grantů závislá na tom, co slíbíme, ale na tom, co skutečně dodáme. Kdo v rámci fakulty víc učí, přinese katedře víc peněz (z toho v našem případě pochází asi třetina té negrantové půlky), kdo publikuje víc a v lepších časopisech, přinese také víc (zbývající dvě třetiny negrantové půlky, tedy cca třetina celkového rozpočtu). Úspěch katedry je pak vhodné dát pocítit i těm, kteří k němu přispěli. Takhle funguje pavlovovské operantní podmiňování, kterému jako biologové dobře rozumíme. Kdo má prvoautorskou publikaci v Nature nebo Science, měl by se nad výplatní páskou usmívat víc než ten, kdo předchozího půl roku nic nevydal, to je jasné. Ale o kolik víc?

Laťka ležela na zemi. Do té doby se vedoucí prostě podíval na seznam publikací a na základě své roky budované intuice jejich autory poodměňoval. To mělo dvě zásadní nevýhody: sežralo mu to chudákovi spoustu času a nebylo to transparentní.

V měřítku Biologické sekce Přírodovědecké fakulty Univerzity Karlovy, pod kterou katedra spadá, už by nic takového dělat nešlo. Automatický systém tedy bere vnitrooborový kvantil Article Influence Score každé publikace (velmi dobré měřítko, které si nemůže žádný žurnál uměle nafouknout) a podle speciální saturační funkce za něj přiděluje body: za články v mizerných časopisech nedostane katedra skoro nic, pak hodnota funkce pomalu roste s percentilem časopisů, které ten, co rukopis přijal, ve svém oboru porazí, až mezi pětinou a desetinou těch nejlepších prudce vystřelí vzhůru a v několika málo top procentech už si hoví na maximu.

Bylo logické, že naše odměny napojíme na tuhle funkci. Ale pozor! Extrémní důraz na „excelentní“ (pokud jste tohle zaklínadlo v kontextu současného vědeckého provozu ještě neslyšeli, máte štěstí) výsledky může dávat smysl, jen když hodnotíte těleso na úrovni katedry, kde se konkrétní úspěchy a neúspěchy více vyvažují. Oproti katedře je jedinec podílející se za půlrok typicky na jednom až třech článcích výrazně více vystaven fluktuacím: buď suší hubu, nebo vyhrává jackpot. Hlavně to první by mohlo být nepříjemně demotivační. Použili jsme tedy stejný tvar funkce, ale její parametry jsme zvolili tak, aby byla plošší a pozvolnější, tedy aby nebyly rozdíly mezi články tak velké a aby nebyl zub mezi první desetinou a zbytkem tak ostrý. Ostatně málo kdy je to tak, že si člověk publikaci pod pětinou nejprestižnějších časopisů zvolí jako první možnost; prostě tam propadne, když mu to nevezmou výš, v čemž hraje výraznou roli i náhoda.

Pokud píše článek víc lidí dohromady, dostane katedra jen odpovídající zlomek peněz. Oceňování studií s opravdu mnoha autory samozřejmě odráží i skutečnost, že ne všichni přispívají stejně (z období covidu existuje celosvětová studie, na níž spolupracovalo 15 025 autorů! Předtím držel rekord tým 5 154 fyziků soustředěných kolem CERNu). Součet podílů nejdůležitějších autorů (prvního, posledního a až několika korespondenčních — typicky těch, kteří zodpovídají za jednotlivé podmnožiny metodiky) nemůže v našem systému klesnout pod 40 %.

Daň jako nástroj skupinové selekce

Ačkoliv oplošťujeme sekční bodovací funkci, rozdíly mezi jednotlivými členy katedry jsou nepříjemně velké. Někdo zkrátka hodně píše nebo spolupracuje na mnoha projektech, někomu se povede každý rok jen jeden článek. To bychom mohli vzít jako fakt a pokrčit nad tím rameny. Život není fér…

My se ale jako evoluční biologové nenecháme nachytat. Kromě podmiňování totiž známe i kuřecí experimenty Willama Muira! Když dáme do jedné klece skupinu slepic, které jsou výsledkem individuální selekce na vysokou nosnost, do měsíce se navzájem uklovou. Jednou z cest k úspěchu v konvenčním chovu je totiž agresivita a dominance — nekalé praktiky, které ke dnu stáhnou všechny, ale zákeřníka ne tak moc jako dobráka. Když však nebudeme počítat vejce každé nosnice zvlášť, ale zavedeme selekci celých klecí společně žijících slepic, získáme krotká a snášenlivá plemena, která nás nakonec odmění i vyšším počtem větších vajec.

Do systému se musí přidat daně! Komu se daří lépe, přihodí do virtuálního sudu víc než ten, komu se daří hůř, a výsledný součet se rozdělí rovným dílem. Když katedra prosperuje a je na vysoké odměny, vydělají na tom všichni.

Je vlastně podivné, jak vehementně se státy brání vybrané daně přerozdělovat přímo mezi občany. (Jediným konstruktivním návrhem tohoto typu, který jsem v poslední době zaznamenal, byl plán materiálového vědce Jiřího Svobody na globální přerozdělovací uhlíkovou daň, která by umožnilo ekonomicky internalizovat vedlejší účinky, které má spalování fosilních paliv na klima. Nápad to byl skvělý, ale dopadlo to jako vždycky. Politici zřejmě nechtějí — jak ve filmu Jiříkovo vidění, který návrh představuje, poznamenává sociolog Zdeněk Konopásek — jednoduchá hotová řešení. Chtějí návrhy, o kterých se mohou hádat, o kterých mohou smlouvat v kuloárech, nad nimiž se mohou trápit a užírat, nad kterými mohou šmelit s lobbisty.) Přitom počítačové simulace přesvědčivě ukázaly, že v náhodných transakčních systémech s multiplikativní komponentou — třeba když se v každém tahu dva domluví, že si vymění zboží v maximální hodnotě 10 % majetku toho chudšího, přičemž jeden z nich na tom zcela náhodně trochu vydělá (vážně ne s větší pravděpodobností ten bohatší; svět je ještě krutější než ty simulace) a jeden prodělá — se nerovnosti s časem zvyšují a nic jiného než sekundární mitigační mechanismy (třeba právě přerozdělovací daně) je nedokáže vyžehlit (https://www.scientificamerican.com/article/is-inequality-inevitable/). Co stát schvátí, to už nenavrátí, dalo by se říct… Proto musí pořád vymýšlet, do jakých betonových kravin peníze nalije — a proto lidé reagují na zvyšování daní s takovou nechutí.

Kdybychom z původně vypočítaných odměn sebrali každému vědci všechno a dali všem úplně stejně, měli bychom takový lokální katedrový komunismus (nebo reálný socialismus — podle toho, jaký pojem si hýčkáte a jaký je pro vás synonymem pekla). Úplně by zmizela finanční motivace publikovat, takže by se všichni flákali a katedra by na odměny neměla (ne že bychom pak nepsali vůbec, přece jen to děláme i z touhy po poznání a z tvůrčího přetlaku).

Kdybychom přerozdělování škrtli a odměňovali se částkami přímo úměrnými počtu bodů, žili bychom jako nešťastné individuálně selektované slepice v podmínkách dravého kapitalismu. Kdybychom navíc úplně opustili krok s oploštěním bodovací funkce, zrušili mzdy a katedrový rozpočet nahradili tokem získaných peněz v poměru 1 : 1 přímo k vědcům, zadělali bychom si dokonce na anarchokapitalismus.

Od fakulty bychom si pronajímali místnosti, skládali bychom se na provoz sekretariátu a knihovny a sami bychom si kupovali veškerý materiál včetně tužek.

Dobře, tak tedy daně. Ale jaké?

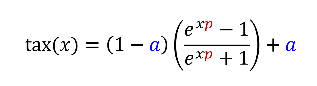
Trvalo mi asi tak třicet vteřin vymyslet lepší funkci zdanění, než používá naše země. Ta funkce vychází z logistické rovnice (no dobře, třicet vteřin mi trvalo vymyslet, že to bude nějak natažený kousek logistické funkce, a třicet minut jsem to pak upravoval) a lze ji zapsat jako

Petr Tureček

Funkce popisuje, jaká daň je uvalena na x-tou korunu odměny (v případě státu by se jednalo o korunu hrubé mzdy). Níže na obrázku je vidět, jak vypadá tato funkce pro různé hodnoty parametrů a a p, kdyby byla na vodorovné ose celková výše výplaty a ose svislé celkové štěstí. Písmeno v rovnici je Eulerovo číslo (asi 2,718…), základ exponenciální funkce, která má při každé hodnotě derivaci rovnou této hodnotě — přirozená volba, ale funkce by fungovala i s libovolným jiným základem, jen by se podle toho musel přeškálovat parametr p. Podobně by se nabízelo nepočítat daňovou zátěž přímo z pořadí vydělané koruny, ale pracovat v násobcích průměrné mzdy, což by zvýšilo porovnávané hodnoty p, a v obrázku by nebylo tolik nul. Detaily se však teď není nutné zdržovat.

Petr Tureček

Obrázek 1. Několik danících funkcí. (Předstíráme, že daň z příjmu je to jediné, co se ze mzdy strhává. V reálné situaci ještě sežere asi 11 % sociální a zdravotní pojištění.) Celková stržená daň odpovídá ploše pod křivkou. Pokud je vaše hrubá mzda 100 000, soustřeďte se na obdélník, který zleva začíná v nule a vpravo končí na dané částce (šedá přerušovaná čára); ten představuje od nuly až k jedničce nahoře to, co vyděláte za měsíc. To, co je potom pod čárou konkrétní danící funkce (v panelu A na příkladu jedné progresivní daně, v panelu B na funkci současné daně z příjmů), stát buď spotřebuje na svůj provoz, nebo přerozdělí (dnes hlavně důchodcům). 

Takováto funkce je elegantní, protože roste spojitě. Každá další koruna, každý další vydělaný haléř je daněn o trochu víc než ten předchozí. Žádné tvrdé, arbitrární neospravedlnitelné prahy jako skok z 15 na 23 procent na (celkem náhodně zvoleném a nedávno navíc měněném) (troj)násobku průměrné mzdy (na obr. 1B). Jistě, lidé mohou strategizovat a například v rámci rodinné firmy si rozepisovat platy do vyrovnanějších, aby se vyhnuli daňové zátěži, ale alespoň se jim to neusnadňuje jedinou prahovou hodnotou.

Pro popis současné danící funkce v ČR potřebuji tři čísla (jedna hladina, po kolikátou korunu platí, druhá hladina), pro popis navržené křivky mi stačí dvě, nebo dokonce jen jedno. Katedrová přerozdělovací daň se obejde bez parametru a, protože chceme, aby naše funkce začínala na souřadnicích 0,0 (na nultou korunu je nulová daň, na první korunu je daň nenulová, ale minimální). Komunismus (tedy, jak už bylo řečeno, 100% daň na každou vydělanou korunu) bych dokázal rovněž namodelovat bez a, stačilo by poslat p k nekonečnu (červená čára na obr. 1B). Parametr a je tedy v rovnici hlavně proto, abychom mohli posouvat základní úroveň daně, potažmo abychom mohli modelovat rovnou daň jako speciální případ naší funkce (to když je parametr daňové progrese p roven nule).

S nostalgií vzpomínám na politiku druhé poloviny nultých let, kdy se v televizi (tehdy se ještě koukalo na televizi!) pořád řešilo, jestli je rovná daň spravedlivější než daň progresivní. Ta tehdy znamenala dokonce čtyři arbitrární schody! (12, 19, 25 a 32 %) Mému pubertálnímu mozku tehdy přišla rovná daň jako jediné logické řešení, ale zpětně soudím, že to nebylo dáno touhou ulevit boháčům (ačkoliv tehdy mi bylo jasné, že se mezi boháče hned po střední škole zařadím, takže jsem tak trochu nadržoval i sám sobě). Bylo to nižším počtem parametrů! S rozumnou spojitou progresí, jako je ta nastíněná výše, bych tehdy pravděpodobně žádný problém neměl. Zvlášť kdyby mi to tehdy někdo pořádně vysvětlil.
 
Jak tlumit pozitivní zpětné vazby ve frontokracii

Užitek, který člověk z dalších vydělaných peněz má, klesá s tím, kolik už vydělal. Jestli budete mít na měsíc tisícovku nebo dvě, představuje obrovský rozdíl. Jestli budete mít sto tisíc nebo sto jedna tisíc, je vám nejspíš srdečně jedno (ekonomové tohle znají jako zákon mezního užitku — funkce blaha s počtem vydělaných peněz roste, ale stále pomaleji a pomaleji, vypadá třeba jako jedna z čar na obr. 1A, kdyby byla na vodorovné ose celková výše výplaty a ose svislé celkové štěstí). Dává tedy největší smysl danit právě ty koruny, které nikomu žádnou velkou radost nedělají. Utilitaristé jako Mill nebo Bentham by zajásali!

Aplikovat rovnou daň je vlastně trochu jako nutit lidi hrát počítačovou hru, kde jsou všechny úrovně stejně těžké. Taková hra by nikoho nebavila… Navíc nelze opomenout, že peníze, které neutratíme za kávu a avokáda, můžeme směnit za byty (nebo alespoň podíly v nemovitostních fondech), které vydělávají další peníze. Svět, kde „prachy dělaj prachy“, představuje spíš RPG hru — u níž je sbírání zkušeností a posilování postavy součástí herní dynamiky —, ve které se však postupně nijak nezvyšuje obtížnost. (A teď si představte, že na score v téhle hře závisí vaše budoucnost, a že je to multiplayer s jedinou ligou, kde na sebe pravidelně narážejí nováčci a protřelí profesionálové. Zní to jako meritokracie?)

Možná by bylo nejvhodnější nastavit daňovou progresi ne podle příjmu, ale podle již vlastněného majetku. Když je člověk na začátku profesní dráhy a nemá nic, měl by mít možnost kumulovat majetek snáz než někdo, kdo vlastní šest (nebo šest tisíc) bytů. Je vlastně nešťastnou náhodou (nebo výsledkem lobbistické manipulace), že podobnou politiku neprosazují pravicové strany. Možná je na vině opět past automatického slučování progresivního zdanění s daněmi vysokými a vysokých daní s těžkopádným státním hegemonem, který se stává živnou půdou pro neformální nepotistické hierarchie a korupci. To spojení ale není samozřejmé. Parametr funkce danící příjem podle majetku může být nastaven tak, aby se vybral přesně stejný objem peněz jako teď; změní se jen to, kde se peníze vyberou. A abychom rozpustili i druhou obvyklou vazbu: i štíhlý stát může mezi občany přesouvat velké objemy prostředků, pokud se ukáže, že to má smysl.

Přesto všechno nelze opomíjet motivační potenciál peněz. Právě ony občas někoho přimějí, aby trochu víc zabral a zpříjemnil tak život všem (víc k tomu napsal John Rawls). Je tedy rovněž fajn, že v nadhozené funkci je sty procenty daněna až nekonečná koruna. (Už v případě modré čáry na obr. 1A je však daňová zátěž vysoká. Nezapomínejme ale, že v katedrovém modelu se primárně jedná o přerozdělovací daně, tedy že z každé získané koruny si nakonec daněný odnese i část hmoty pod křivkou).

Dostáváme se tu na politicky neprobádanou půdu; na katedrové úrovni jsme hodnoty parametrů nějak uvážlivě nastavili (podle typické výše odměn a podle typické nerovnosti, která se v nich projevuje) a jsme spokojení. Jak to nastavit na úrovni státu, těžko říct. Ale máme přece demokracii! Pokud bychom se alespoň shodli na podobě funkce, která danění popisuje a pokryje spojitě škálu funkcí od rovné daně přes různé formy progresivního zdanění až po tvrdý komunismus, máme vyhráno. Ekonomický program strany se vejde na vizitku: Dva parametry danění příjmu podle příjmu, dva parametry danění příjmu podle majetku, dva parametry danění majetku podle majetku (danit majetek podle příjmu podle mě smysl nemá, ale dokážu si představit odvážnou stranu, co by objevila zdůvodnění i pro zavedení této složky), plus jeden parametr popisující podíl, který si stát nechá, než zbytek rozpošle rovným dílem všem. V této skice je to jednodušší než úvodní popis převodu kvality vědeckých publikací na peníze (4 parametry sekční funkce, 4 parametry placatější katedrové, 2 parametry na popis oken setrvačnosti, 1 parametr přerozdělovací daň, k výpočtu AIS kvantilu se stavíme jako k externí veličině, kterou neovlivníme). Líbezná technokracie bez nánosu ideologií a kulturních válek (ty se dají vyřešit prostě tím, že si lidi budou hledět svého — žij a nech žít. Je vážně bizarní, že se politika v rámci známého dvourozměrného kompasu přestěhovala tak výrazně z dimenze míry ekonomické permisivity na dimenzi míry sociální permisivity.)

Milovníci přímé demokracie by mohli trvat na tom, že hodnoty parametrů nebudou nastavovat vítězové voleb, ale že budou občané volit přímo je. Na hlasovacím lístku by nebyla žádná jména, jen chlívečky na vpisování čísel. No. Určitě jsem pro zkusit to, ale hrozí, že kombinace průměrů nastavená „moudrým davem“ nebude dávat takový smysl jako jedna pečlivě nakombinovaná sada. Spousta lidí bude navíc ve volbách taktizovat: „Vím, že mi všichni sousedé budou nutit progresi, tak musím volit záporné číslo, abych udržel rovnou daň.“ „Myslím si, že ideální progrese je pozvolná, ale protože vím, že vysokopříjmové vrstvy volí záporné hodnoty, volím progresi krutou.“ atd… To zní strašidelně.

Doufám, že nás dělí jen pár ekonomických Nobelovek od volebního systému, ve kterém se nikomu nevyplatí hlasovat pro něco jiného, než co považuje za ideální. Už se to povedlo v případě jednoduchých párovacích trhů („matching markets“; takové to, jak studenti specifikují, kam by chtěli na školu, a školy specifikují, jaké studenty by chtěly — takové to, jak v tom Pražáci taktizují, a pak nikoho nikam nevezmou a všichni stojí dlouhé fronty — tak to má řešení bez front a průtahů, které je maximálně vstřícné ke školám i žákům, a loni o tom přednášel v Praze jeden z jeho autorů Alvin Roth. Je komické spíš než smutné, že se podle toho v Česku zatím žáci do škol nerozdělují. Odpočítávání běží…)

Zkrátka: politiku je třeba parametrizovat. Lidé a stroje pak mohou společně hledat hodnoty parametrů, které maximalizují šanci, že bude každý z nás žít dobrý, naplněný život. S parametrizací daní je už nyní možné aktivně experimentovat (v počítačových simulacích a experimentálních hrách, časem snad i v rámci skutečného státního provozu — podobně jako když výzkumníci v Británii či v Německu dali několika stovkám pokusných osob základní nepodmíněný příjem). Z ideologických šarvátek a z přetlačování nabubřelých eg se může stát optimalizační problém. Jde jen o to přestat mávat rukama a dojímat se nad sto let starými sociologickými texty.

Autor je evoluční biolog.

Petr Tureček vystudoval teoretickou a evoluční biologii na Přírodovědecké fakultě Univerzity Karlovy. Ve svém výzkumu se zabývá především kulturní evolucí: prostřednictvím matematického modelování zkoumá, jaký dopad mají odlišnosti mezi genetickým a sociálním přenosem na procesy adaptace a divergence v příslušných doménách. Evoluci kultury také vyučuje na Přírodovědecké fakultě, kde působí jako odborný asistent na Katedře filosofie a dějin přírodních věd. Je členem Centra pro teoretická studia (Univerzita Karlova + AV ČR) a skupiny Blázni.cz, která vydávala v desátých letech 21. století samizdatový literární časopis. Napsal knihu „Vlasy se vrací“ a sbírku poezie „Ptáci a prdele letěli vesele“.